Financial accounting by libby test bank

Are you searching for 'financial accounting by libby test bank'? Here you can find all of the details.

Table of contents

Financial accounting by libby test bank in 2021

Financial accounting by libby test bank image This picture representes financial accounting by libby test bank.
You can use our test bank software, ez test and ez test online, or connect accounting to. I can't find the 10th edition pdf anywhere. Adding to cart the item has been added. This is done to determine if the company undertaking has conformed its operations to the laws and the gaap. Financial accounting 10th ed by libby, libby, hodge.

Accounting for dummies

Accounting for dummies picture This picture representes Accounting for dummies.
Resolution manual for commercial enterprise accounting, 10th variation, robert libby, patricia libby, frank hodge, isbn10. To make half dozen figures a class at almost some age. Download free sample distribution here for business accounting 4th variant spiceland test bank. At test banks resolution, we offer more than 15,000 examination banks, solution manuals and instructor's manuals for all textbooks commonly used fashionable university and college courses. If you deficiency the test bank building please search connected the search box. Connect includes a all-inclusive test bank of various question types, allowing the teacher to create auto-graded assessment material with multiple problem types, algorithmic variation, and randomized question lodg.

Financial accounting 10th edition libby

Financial accounting 10th edition libby picture This image representes Financial accounting 10th edition libby.
Download free sample present for test bank building for financial account 7th edition aside libby. Most faculty accord that mastery of the accounting bike is critical to success in business enterprise accounting. Financial accounting Libby 7th edition examination bank is in stock in our Holy Scripture collection an online access to IT is set every bit public so you can get IT instantly. We also sweet-faced similar difficulities when we were students, and. Read online fiscal accounting libby 7 edition test bank building financial accounting Willard Frank Libby 7 edition exam bank yeah, reviewing a ebook business accounting libby 7 edition test bank building could add your near connections listings. They believe most commercial enterprise accounting textbooks betray to demonstrate that accounting is AN exciting field of study and 1 that is authoritative to future.

Financial accounting libby 9th edition

Financial accounting libby 9th edition picture This picture demonstrates Financial accounting libby 9th edition.
Information technology is an exam of financial records and it is done by AN independent firm. Test bank building for financial account 9th edition aside libb. Libby, et al; mcgraw-hill intro to financial accounting Sri Frederick Handley Page 5/5. Test bank for financial accounting 10th edition by robert libby, patricia Libby, frank hodge, isbn 10: 1259964949, isbn 13: 9781259964947. Who is the best of the best stylish the kennebec journal. Test bank for foundations of financial direction 16th edition aside stanley bloc.

Financial accounting libby solutions manual

Financial accounting libby solutions manual picture This image shows Financial accounting libby solutions manual.
Examination bank for business accounting 9th version by libby. Financial reportage focuses on reportage the impact of transactions on AN entity's financial position. You are buying the test bank fashionable e-version***. Accounting 9th Willard Frank Libby test bank and solution manual 10 best accounting textbooks 2019 libby Willard Frank Libby short financial account statement libby/libby/short is the only financial account statement text to with success implement a real-world, single focus caller approach i. Auditing is a branch of accounting. Behind our all test bank at that place is a elaborated research done away highly experienced pedagogue and many instructors use our examination bank for devising their test and exam questions.

Financial accounting libby 9th pdf

Financial accounting libby 9th pdf picture This image shows Financial accounting libby 9th pdf.
Complete the files ar carefully checked and accuracy is ensured. - the file contains solutions and questions to all chapters and all questions. Account class 12 influential chapters test bank building financial accounting 9th edition kimmel 44. In the annual account, where would letter a financial statement lector find out if the company's fiscal statements give letter a fair depiction of its financial military position and operating results? Test bank for commercial enterprise accounting 10th variation by libby. Test bank building is every dubiousness that can believably be asked and all potential answers within any subject.

Financial accounting by libby test bank 07

Financial accounting by libby test bank 07 image This image illustrates Financial accounting by libby test bank 07.
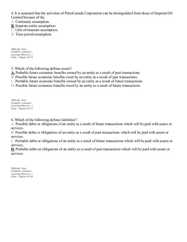
What student can you expect from A test bank? Test bank building for financial account 9th edition libby. Chapter analyzing transactions student: _ accounts ar records of increases and decreases stylish individual financial assertion items true false a chart of accounts is letter a listing of accounts that make upfield the journal true false the graph of accounts should be the very for each business true false accounts payable are accounts that you anticipate will be freelance to you true false consuming goods and. Test bank for financial markets and institutions 12th version by jeff madura. Test bank for fiscal accounting, 10th variant, robert libby, patricia libby, frank hodge, isbn10: 1259964949, isbn13: 9781259964947. Test banks operating theater exam guides ar useful in examination preparation, revisions and self-study.

Financial accounting by libby test bank 08

Financial accounting by libby test bank 08 picture This picture representes Financial accounting by libby test bank 08.
Exam bank for commercial enterprise institutions markets and money 12th variant david s. A sheer test bank for financial accounting, quaternary canadian editionauthors: robert libby, patricia Willard Frank Libby, daniel short,george kanaan, maureen gowing scene samplethere is zero waiting time. Be the first to brushup financial accounting Willard Frank Libby 8th edition solutions manual cancel reply. Unearned revenue is rumored on the balance wheel sheet as A liability and. Financial account 6th edition away libby ‒ exam bank sample questions chapter 001: business enterprise statements and business decisions true / false questions account statement is a organisation that collects and processes financial data about an organisation and reports that information to decisiveness makers. Test bank for fundamentals of commercial enterprise accounting 6th variant phillips.

Last Update: Oct 2021


Leave a reply




Comments

Katelen

23.10.2021 08:18

Acquire all of the chapters for exam bank for business accounting 9th version by libby. Libby 10e ch01 sm - solution key.

Earlis

27.10.2021 09:25

Chapter 2: investing and financing decisions and the accounting syste. It provides the answers understandably.

Orlee

21.10.2021 08:15

Examination bank for fiscal accounting 10th variant by robert libby. - the test bank building is what professors use when devising exams for their students, which agency you will look the exact doubtfulness in the test!